Równania miłości

Równania miłości

Tytuł pewnie trochę dziwnie brzmi, bo czy miłość da się opisać równaniem? Symbolem miłości jest niewątpliwie Serce, a zatem spróbujmy opisać kształt serca równaniem matematycznym.

Artykuł został opublikowany na portalu czasopisma popularnonaukowego "Wiedza i Życie", na portalach krasnik24.pl, krasnik.naszemiasto.pl i matematyka.wroc.pl.

1 Kardioida czyli krzywa sercowa

Rozpocznę od pewnej słynnej matematycznej krzywej, tzw. kardioidy. Definicja jej jest następująca: kardioida (krzywa sercowa) – krzywa opisywana przez ustalony punkt okręgu toczącego się bez poślizgu po zewnętrzu innego nieruchomego okręgu o tej samej średnicy. Można ją opisać za pomocą równania:

gdzie jest parametrem.

Pole powierzchni ograniczone kardioidą wynosi: , zaś obwód:

A teraz zobaczcie jak taka kardioida może wyglądać, gdy k=2

Wykres kardioidy

Taki wykres możemy również opisać za pomocą tzw. współrzędnych biegunowych. Układ współrzędnych biegunowych (układ współrzędnych polarnych) – to układ współrzędnych na płaszczyźnie wyznaczony przez pewien punkt O zwany biegunem oraz półprostą OP o początku w punkcie O zwaną osią biegunową.

np. opisana wyżej kardioida ma następujące współrzędne biegunowe:

Można użyć też tzw. równania parametrycznego:

Przyjmijmy teraz oznaczenia jak na rysunku

oraz

Policzmy pole powierzchni i obwód kardioidy. Sięgniemy do matematyki wyższej i użyjemy całki oznaczonej:

Jak się to ma do wcześniej podanych wzorów oraz . W obliczeniach przyjąłem po prostu, że . Dzięki temu podstawieniu można łatwo wyobrazić sobie obwód kardioidy jako obwód kwadratu o boku długości .

Zgodzicie się na pewno ze mną, że kardioida swoim kształtem przypomina serce.

Mówiąc o kardioidzie chcę Wam również przekazać pewną ciekawostkę muzyczną (muzyka to również moja pasja). Wiecie zapewne co to jest i do czego służy mikrofon. Jedną z cech mikrofonu jest jego sposób „ściągania” dźwięków, czyli tzw. charakterystyka. Wiele mikrofonów ma tzw. charakterystykę kardioidalną, co prezentuje poniższy rysunek.


2 Ciekawe równania serc

Wróćmy do naszych równań miłości. Zapewne jesteście przyzwyczajeni do nieco innego kształtu serca niż kardioida. A zatem spróbujmy „ukształtować” trochę bardziej naszą krzywą serca. To tak jak w życiu, trzeba miłość kształtować.

Poniżej przedstawiam kilka równań bardzo ładnych serduszek wraz z ilustracją graficzną w kartezjańskim układzie współrzędnych:

Dosyć ciekawym sposobem uzyskania serduszka jest połączenie dwóch elips:

Dwie elipsy nałożone na siebie
Jeśli teraz dodamy odpowiednie założenia do równań elips, to otrzymamy powyższy rezultat.

dla

dla


3 Przestrzenne serca 3D

Równanie serca można przenieść w przestrzeń trójwymiarową. Oto przykład takiego równania wraz z wykresem:

 (x^2+9/4y^2+z^2-1)^3-x^2z^3-9/(80)y^2z^3=0

4 Fraktalne serca

W matematyce istnieją dość ciekawe i ładne obiekty. Są to tzw. fraktale. Fraktal w znaczeniu potocznym oznacza zwykle obiekt samo-podobny (tzn. taki, którego części są podobne do całości) albo „nieskończenie subtelny” ukazujący subtelne detale nawet w wielokrotnym powiększeniu.

Zobaczmy jak może wyglądać fraktalne serduszko:

http://www.fractalposter.com/fractal_wallpapers/heart_of_mine_2646_2560_1600_hor.jpg
Fraktal Medelbrot’a i widoczna kardioida
Fraktales Herz
http://ak.picdn.net/shutterstock/videos/5336462/preview/stock-footage-red-heart-rate-fractal-k.jpg
http://www.de-kay.ru/pic/2010/fractal-heart.jpg

5 Serca geometryczne

Oprócz takich równań matematyczne serduszka możecie wykonać w inny sposób. Będą to matematyczno-geometryczne serduszka. Oto kilka przykładów:

http://www.mathematische-basteleien.de/herz01.gif
Serduszko składające się z kwadratu i koła. Koło podzielone na dwie części.
http://www.mathematische-basteleien.de/herz02.gif
Serduszko zbudowane na bazie trójkąta równoramiennego (tutaj użyty jest nawet trójkąt prostokątny równoramienny) oraz koła podzielonego na dwie części.
http://www.mathematische-basteleien.de/herz03.gif
Serduszko zbudowane na połowie koła wraz z dwoma półkolami.
http://www.mathematische-basteleien.de/herz04.gif
Tutaj przykład serduszka składającego się z dwóch trójkątów równoramiennych i dwóch półkoli.
http://www.mathematische-basteleien.de/herz05.gif
Serduszko składające się z dwóch kół oraz poprowadzonych stycznych do okręgów.
http://www.mathematische-basteleien.de/herz07.gif
Serduszko powstałe na bazie czterech okręgów o równych promieniach o środkach w wierzchołkach kwadratu. Potem wybieramy odpowiednie fragmenty i gotowe
http://www.mathematische-basteleien.de/herz08.gif

Serduszko, w skład którego wchodzi fragment funkcji dla
oraz dwóch półkoli.

http://www.mathematische-basteleien.de/herz09.gif

Serduszko, w skład którego wchodzi fragment funkcji dla
oraz dwóch półkoli.

I kolejna propozycje uzyskania serduszka:

http://www.mathematische-basteleien.de/herz24.gif
Taka układanka nazywa się tangram – chińska łamigłówka (układanka), znana od ok.3000 lat.

6 Zrób to sam

Poniżej instrukcja jak wykonać ładne serduszko:

http://www.mathematische-basteleien.de/herz40.gif

7 Coś do rozwiązania


8 Matematyczna walentynka od moich uczniów

Na koniec chciałbym Wam przedstawić bardzo oryginalny pomysł moich uczniów. Dostałem od nich matematyczną walentynkę, którą musiałem rozwiązać.

Oto jej treść:

Rozwiąż metodą graficzną, a następnie powstały wyraz przenieś w miejsce kropek w odpowiedzi.

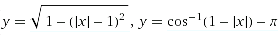
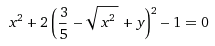
1.

2.

3.

4.

ODP. We ????????YOU ? so much! :)

A oto rozwiązanie:

Z wielką dumą wpisałem LOVE w odpowiedzi do zadania. Przyznacie, że robi wrażenie. Oprócz świetnego pomysłu na zadanie, uczniowie wykazali się wiedzą matematyczną z zakresu szkicowania wykresów funkcji oraz ich przekształcania.

A oto zdjęcia tej niespodzianki:

Serduszkowa klasa 2g

A zatem widzimy jak wiele różnych serc można opisać równaniem matematycznym. Jest ich naprawdę nieskończenie wiele. Możecie zmieniać liczby w przedstawionych równaniach uzyskując swoje własne i niepowtarzalne serca. Myślę, że każdy z Was odnalazł już to swoje serce.

Tomasz Grębski

Related Articles

logo 2022 joomla footer