Dziedzina funkcji - graficzne i algebraiczne wyznaczanie dziedziny funkcji - video lekcja

Dziedzina funkcji – graficzne i algebraiczne wyznaczanie dziedziny funkcji

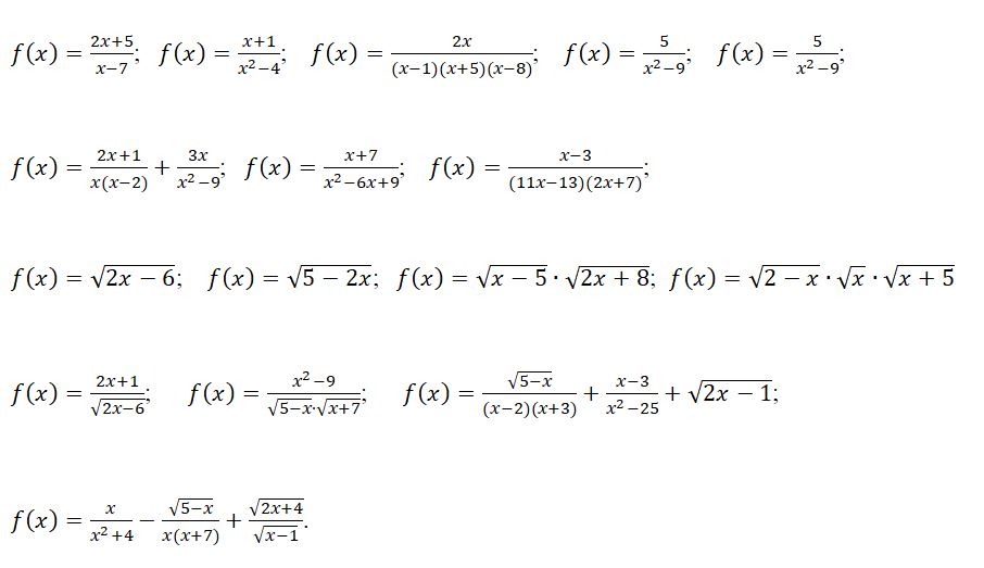
Na filmie:
Materiały z lekcji
Dziedzina funkcji – część 1 Dziedzina funkcji – część 2 Dziedzina funkcji – część 3
1
🎬 Video lekcja
Dostęp do pełnej lekcji jest dostępny w abonamencie PREMIUM .

Dalsza część dostępna jest dla Użytkowników PREMIUM  👉 Abonament PREMIUM

Related Articles

logo 2022 joomla footer