Tomasz Grębski

Pole trójkąta – ile naprawdę istnieje sposobów jego opisu?

Proste pojęcie szkolne potrafi prowadzić do pytań o granice języka matematyki, o strukturę teorii i o sens „jednego właściwego wzoru”. Poniżej — pełny tekst w nowoczesnej, czytelnej oprawie.

01 Proste pojęcie, nieoczywista głębia

Pole trójkąta należy do najbardziej elementarnych pojęć matematyki szkolnej. Uczniowie poznają je dość wcześnie i zwykle traktują jako zagadnienie zamknięte: istnieje określony przepis, który należy zapamiętać i umieć zastosować. Z czasem pojawiają się jeszcze inne sposoby obliczeń, lecz przekaz pozostaje ten sam – pole trójkąta da się wyznaczyć na kilka ściśle określonych sposobów.

Taki obraz matematyki jest jednak mylący. Za tym pozornie prostym pojęciem kryje się niezwykle bogata struktura, która od dawna fascynowała matematyków i prowadziła do zaskakująco głębokich refleksji nad samą naturą matematycznego opisu.

02 Zapomniany rozdział historii matematyki

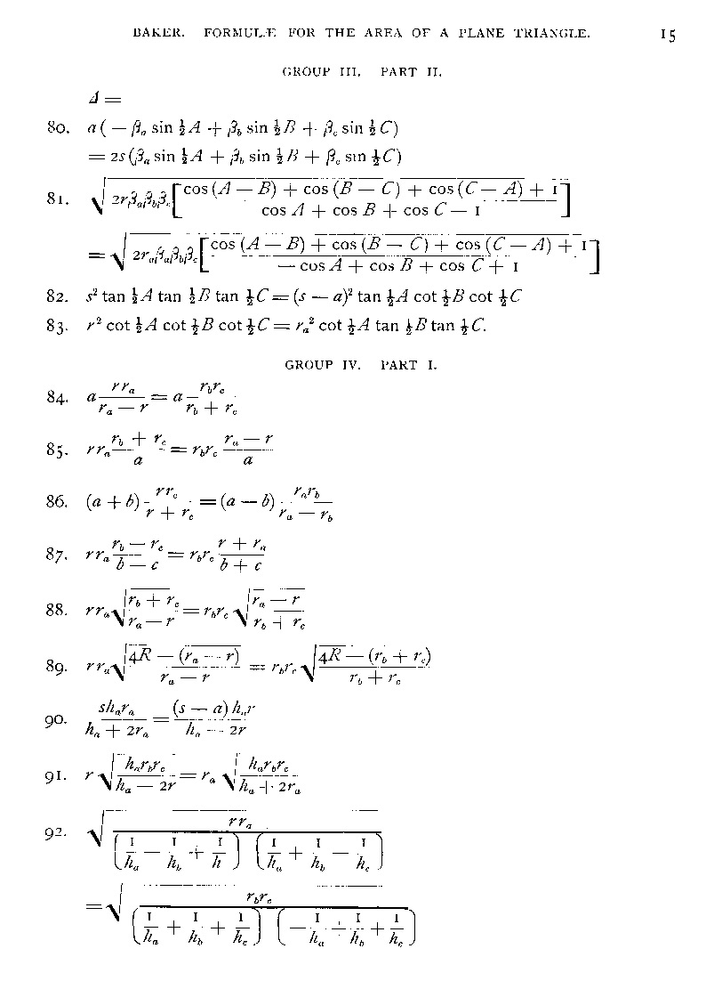
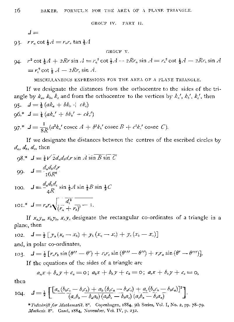
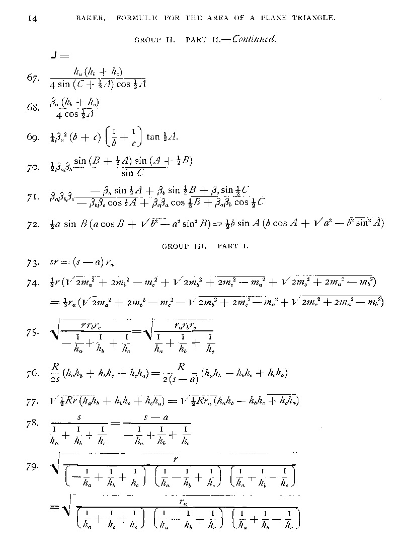
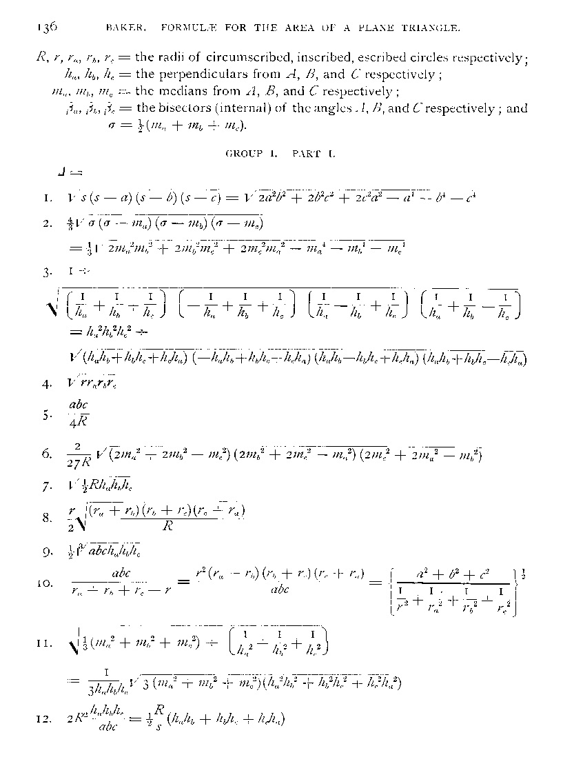
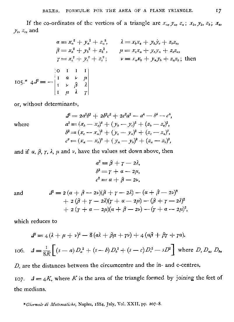
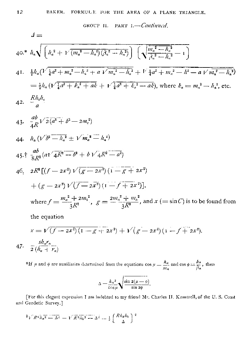
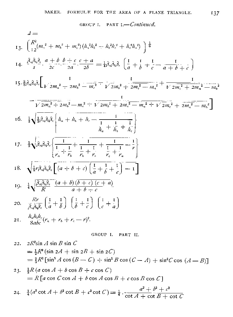
Już w drugiej połowie XIX wieku pojawiła się potrzeba uporządkowania wiedzy dotyczącej sposobów wyrażania pola trójkąta. Dokonał tego amerykański matematyk Marcus Baker, który w latach 1885–1886 opublikował w Annals of Mathematics obszerną pracę zatytułowaną A Collection of Formulae for the Area of a Plane Triangle.

W artykule tym zebrał i sklasyfikował ponad sto różnych postaci prowadzących do tej samej wielkości geometrycznej. Co istotne, autor wyraźnie zaznaczał, że po uwzględnieniu wszystkich możliwych przestawień ról boków i kątów liczba równoważnych zapisów znacząco rośnie. Już wtedy było jasne, że nie istnieje jeden uprzywilejowany sposób opisu pola trójkąta, a różnorodność formuł nie jest wadą teorii, lecz jej naturalną cechą

Wniosek, który „przemyka” między zdaniami tej historii: to nie matematyka jest uboga w narzędzia, tylko nasze szkolne przyzwyczajenia bywają zbyt wąskie.

03 Skąd bierze się ta różnorodność?

Źródło tej obfitości jest jednocześnie proste i fundamentalne: pole trójkąta można opisać niemal każdą jego własnością geometryczną.

Może być ono wyrażane poprzez długości boków, miary kątów, wysokości, środkowe, dwusieczne, promienie okręgów związanych z trójkątem, odległości punktów szczególnych, a nawet przez współrzędne w odpowiednio dobranym układzie odniesienia. Każda z tych informacji zawiera w sobie pełną wiedzę o polu figury – matematyka polega na tym, by umieć ją z tej informacji wydobyć.

04 Porządkowanie nadmiaru

Naturalną konsekwencją takiej sytuacji jest potrzeba porządkowania. Gdyby każdy sposób zapisu traktować jako całkowicie odrębny przypadek, szybko powstałby chaos. Tymczasem wiele pozornie różnych postaci łączy wspólna struktura, a różnice wynikają jedynie z przyjętej konwencji zapisu.

Jednym z kluczowych kryteriów systematyzacji okazało się zachowanie danego opisu przy zamianie ról boków i kątów trójkąta. Niektóre sposoby opisu są w tym sensie „sztywne” i nie generują nowych, istotnie różnych postaci. Inne natomiast prowadzą do całych rodzin równoważnych zapisów. Dzięki temu możliwe stało się nie tylko policzenie znanych form, lecz przede wszystkim uchwycenie głębszego porządku kryjącego się pod ich powierzchowną różnorodnością.

05 Szkolne metody w szerszym kontekście

Z tej perspektywy szkolne sposoby obliczania pola trójkąta przestają być jedynymi poprawnymi rozwiązaniami. Stają się natomiast szczególnymi przypadkami znacznie bogatszej teorii. To, co w nauczaniu szkolnym jawi się jako prosty przepis, w rzeczywistości jest jedną z wielu równoważnych dróg prowadzących do tego samego celu.

Świadomość tego faktu zmienia sposób postrzegania matematyki – z nauki o wzorach na naukę o zależnościach.

06 Równość jako narzędzie odkrywania

Jednym z najbardziej interesujących aspektów istnienia wielu opisów pola trójkąta jest możliwość ich porównywania. Gdy dwa zupełnie różne zapisy prowadzą do tego samego wyniku, ich równość przestaje być banalna. Staje się źródłem nowych wniosków, tożsamości i twierdzeń.

W ten sposób pole trójkąta przestaje być jedynie celem obliczeń, a zaczyna pełnić rolę narzędzia badawczego, umożliwiającego odkrywanie głębszych relacji geometrycznych.

07 Co zmieniło się przez ostatnie 140 lat?

Od czasów Bakera zmienił się język matematyki, ale nie zmienił się sam trójkąt. W analizie matematycznej pole figury zaczęto opisywać jako funkcję, granicę lub całkę. Geometria analityczna i afiniczna wprowadziły aparaturę współrzędnych i przekształceń. Algebra liniowa pozwoliła interpretować pole jako wielkość związaną z obiektami wektorowymi i macierzami.

Szczególną rolę odegrała analiza zespolona, w której wierzchołki trójkąta traktuje się jako punkty na płaszczyźnie zespolonej. W tym języku pole figury może być opisywane na nieskończenie wiele równoważnych sposobów, zależnych od wyboru funkcji i sposobu zapisu. W jeszcze bardziej abstrakcyjnych teoriach pole staje się niezmiennikiem lub wielkością całkową na odpowiedniej strukturze geometrycznej.

08 Czyli ile jest wzorów na pole trójkąta?

Z tego punktu widzenia pytanie o liczbę wzorów zmienia swój charakter. Nie jest już pytaniem arytmetycznym, lecz pytaniem o granice języka matematyki.

Jeśli przez „wzór” rozumiemy elementarną postać szkolną – jest ich kilka czy kilkanaście. W ramach klasycznej geometrii XIX wieku można mówić o setkach postaci. Jeśli jednak dopuścimy pełen aparat współczesnej matematyki, liczba możliwych opisów przestaje być skończona.

Najuczciwsza odpowiedź brzmi więc: nie istnieje skończona liczba wzorów na pole trójkąta. Istnieje natomiast nieskończona liczba równoważnych opisów tej samej wielkości, zależnych od języka matematyki, którym się posługujemy.

09 Zakończenie – prostota bez dna

Historia sposobów opisu pola trójkąta jest w istocie historią matematyki w miniaturze. Pokazuje, że proste pojęcia mogą mieć nieskończoną głębię, że różne opisy nie muszą sobie przeczyć i że matematyka nie polega na poszukiwaniu jednej „właściwej” formuły.

Pole trójkąta nie jest więc tylko liczbą. Jest punktem spotkania geometrii, algebry, analizy i wyobraźni matematycznej. I właśnie dlatego pytanie „ile jest wzorów na pole trójkąta?” nie ma jednej odpowiedzi — i nie powinno jej mieć.

10 Oryginalny tekst historyczny

Poniżej zamieszczono oryginalny tekst historyczny, w którym po raz pierwszy w tak szeroki i systematyczny sposób zebrano oraz uporządkowano różne sposoby wyrażania pola trójkąta. Jest to materiał źródłowy z końca XIX wieku, zachowany w oryginalnej formie, stanowiący cenne świadectwo ówczesnego stanu wiedzy oraz rozwoju myśli geometrycznej.

Lektura tego tekstu pozwala spojrzeć na pole trójkąta nie tylko jako na szkolne zagadnienie obliczeniowe, lecz jako na problem matematyczny o bogatej historii i niezwykłej różnorodności ujęć.

Pokaż / ukryj: Oryginalny tekst historyczny

11 Wybrane wzory na pole trójkąta wraz z dowodami

Poniżej przedstawiam wybrane wzory na pole trójkąta wraz z dowodami

Pokaż / ukryj: Wybrane wzory na pole trójkąta wraz z dowodami